一、选择题(40分)
1.
A.0
B.1/2
C.1
D.2
【答案】A
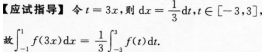
【应试指导】 
2.
A.低阶无穷小量
B.等价无穷小量
C.同阶但不等价无穷小量
D.高阶无穷小量
【答案】C
【应试指导】是2x的同阶但不等价无穷小量.
3.
A.有定义且有极限
B.有定义但无极限
C.无定义但有极限
D.无定义且无极限
【答案】B
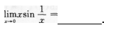
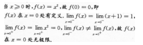
【应试指导】
5.下列区间为函数f(x)=x4-4x的单调增区间的是【 】
A.(一∞,+∞)
B.(一∞,O)
C.(一1,1)
D.(1,+∞)
【答案】D
6.
【答案】B
7.
8.
9.
二、填空题(11~20小题,每小题4分,共40分)
11.
【答案】0
【应试指导】当x→0时,x是无穷小量,
12.
13.
14.
15.
16.
17.
18.
19.
20.
三、解答题(21~28题,共70分.解答应写出推理、演算步骤)
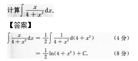
21.(本题满分8分)
22.
(本题满分8分)
23.
(本题满分8分)
24.
(本题满分8分)
25.
(本题满分8分)
26.
(本题满分l0分)
27.
(本题满分l0分)
28.
(本题满分l0分)
从装有2个白球,3个黑球的袋中任取3个球,记取出白球的个数为X.
(1)求X的概率分布;
(2)求X的数学期望E(X).

