一、选择题:每小题4分,共40分,在每小题给出的四个选项中,只有一项是符合题目要求。
第1题 设b≠0,当x→0时,sinbx是x2的( )
A.高阶无穷小量
B.等价无穷小量
C.同阶但不等价无穷小量
D.低阶无穷小量
参考答案:D

参考答案:C
第3题 函数f(x)=x3-12x+1的单调减区间为( )
A.(-∞,+∞)
B.(-∞,-2)
C.(-2,2)
D.(2,+∞)
参考答案:C

参考答案:A
第5题

参考答案:B

参考答案:D
第7题

参考答案:B

参考答案:A

参考答案:B

参考答案:A
二、填空题:本大题共10小题。每小题4分,共40分,将答案填在题中横线上。

参考答案:1

参考答案:2
第13题 设y=x2+e2,则dy=________
参考答案:(2x+e2)dx
第14题 设y=(2+x)100,则Y’=_________.
参考答案:100(2+z)99
第15题

参考答案:-In∣3-x∣+C
第16题

参考答案:0

参考答案:1/3(e3一1)
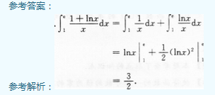
第18题

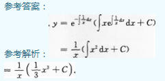
第20题

参考答案:y2cosx
第19题 微分方程y’=2x的通解为y=__________.
参考答案:x2+C
第20题

参考答案:1
三、解答题:本大翘共8个小题,共70分。解答应写出推理,演算步骤。
第21题


第22题


第23题


第24题


第25题


第26题 设二元函数z=x2+xy+y2+x-y-5,求z的极值.

第27题


第28题



