一、选择题:1~10小题,每小题4分,共40分.在每小题给出的四个选项中,只有一项是符合题目要求的,把所选项前的字母填在题后的括号内。

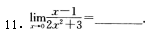
A.0 B.1 C.2 D.3
答案:C
2.
A.-1 B.0 C.1 D.2
答案:C
3.设函数y=2+sinx,则y/=
A.cosx B.-cosx C.2+cosx D.2-cosx
答案:A
4.设函数y=ex-1+1,则dy=
A.exdx B.ex-1dx C.(ex+1)dx D.(ex-1+1)dx
答案:B
5.
A.1 B.3 C.5 D.7
答案:B
6.
A.π/2+1 B.π/2 C.π/2-1 D.1
答案:A
7.
A.4x3+4x B.4x3+4 C.12x2+4x D.12x2+4
答案:D

A.-1 B.0 C.1 D.2
答案:C
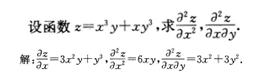
9.设函数z=x2+y,则dz=
A.2xdx+dy B.x2dx+dy C.x2dx+ydy D.2xdx+ydy
答案:A
10.
A.1/2 B.1 C.3/2 D.2
答案:D
二、填空11-20小题。每小题4分,共40分。把答案填在题中横线上。

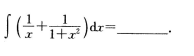
答案:-1/3
12.设函数y=x2-ex,则y/=
答案:2x-ex
13.设事件A发生的概率为0.7,则A的对立事件非A发生的概率为
答案:0.3
14.曲线y=lnx在点(1,0)处的切线方程为
答案:y=x-1
15.
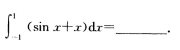
答案:ln|x|+arctanx+C
16.
答案:0
17.
答案:cosx
18.设函数z=sin(x+2y),则αz/αx=
答案:cos(x+2y)
19.已知点(1,1)是曲线y=x2+alnx的拐点,则a=
答案:2
20.设y=y(x)是由方程y=x-ey所确定的隐函数,则dy/dx=
答案:1/(1+ey)
三、解答题:21-28题,共70分。解答应写出推理、演算步骤。
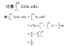
21.(本题满分8分)

22.(本题满分8分)
设函数y=xe2x,求y/
解:y/=x/e2x+x(e2x)/=(1+2x)e2x.
23.(本题满分8分)

24.(本题满分8分)

25.(本题满分8分)

26.(本题满分10分)

27.(本题满分10分)
设函数f(x,y)=x2+y2+xy+3,求f(x,y)的极点值与极值。

28.(本题满分10分)
已知离散型随机变量X的概率分布为
| X | 0 | 10 | 20 | 30 |
| P | 0.2 | α | 0.2 | 0.3 |
(Ⅰ)求常数α;
(Ⅱ)求X的数学期望EX及方差DX。
解:(Ⅰ)因为0.2+α+0.2+0.3=1,所以α=0.3.
(Ⅱ)EX=0×0.2+10×0.3+20×0.2+30×0.3=16
DX=(0-16)2×0.2+(10-16)2×0.3+(20-16)2×0.2+(30-16)2×0.3=124.

