位置:首页 > 专升本|本科 > 考试大纲 > 正文

2025年成人高考专升本高等数学一考试真题及答案

一、选择题:1~10小题,每小题4分,共40分.在每个小题给出的四个选项中,只有一项是符合题目要求的,把所选项前的字母填在题后的括号内.

1.1.png

A.2/3   B.1   C.3/2    D.3

答案:C

2.设函数y=2x+sinx,则y/=

A.1-cosx   B.1+cosx   C.2-cosx   D.2+cosx

答案:D

3.设函数y=ex-2,则dy=

A.ex-3dx   B.ex-2dx    C.ex-1dx    D.exdx

答案:B

4.设函数y=(2+x)3,则y/=

A.(2+x)2   B.3(2+x)2   C.(2+x)4    D.3(2+x)4

答案:B

5.设函数y=3x+1,则y/=

A.0   B.1   C.2   D.3

答案:A

6.6.png

A.ex   B.ex-1   C.ex-1    D.ex+1

答案:A

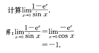
7.7.png

A.2x2+C   B.x2+C   C.1/2x2+C   D.x+C

答案:C


8.8.png

A.1/2   B.1   C.2   D.3

答案:C

9.设函数z=3x2y,则αz/αy=

A.6y   B.6xy    C.3x    D.3X2

答案:D

10.10.png

A.0   B.1   C.2   D.+∞ 

答案:B

二、填空题:11~20小题,每小题4分,共40分.把答案填在题中横线上.

11.11.png

答案:e2

12.设函数y=x3,则y/=

答案:3x2

13.设函数y=(x-3)4,则dy=

答案:4(x-3)3dx

14.设函数y=sin(x-2),则y"=

答案:-sin(x-2)

15.15.png

答案:1/2ln|x|+C

16.16.png

答案:0

17.过坐标原点且与直线(x-1)/3=(y+1)/2+(z-3)/-2垂直的平面方程为

答案:3x+2y-2z=0

18.设函数x=3x+y2,则dz=

答案:3dx+2ydy

19.微分方程y/=3x2的通解为y=

答案:x3+C

20. 20.png

答案:2


三、解答题:21-28题,共70分。解答应写出推理、演算步骤。

21.(本题满分8分)

21.png

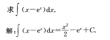
22.(本题满分8分)

22.png

23.(本题满分8分)

求曲线y=x3-3x+5的拐点。

解:y/=3x2-3,y"=6x

令y"=0,解得x=0

当x<0时,y"<0;当x>0时,y">0

当x=0是,y=5

因此,点(0,5)为所给曲线的拐点

24.(本题满分8分)

24.png

25.(本题满分8分)

25.png

26.(本题满分10分)

设D为曲线y=x2与直线y=x所围成的有界平面图形,求D饶x轴旋转一周所得旋转体的体积V。

blob.png

位置:首页 > 专升本|本科 > 考试大纲 > 正文